Trường Mở - Cộng Đồng Học Sinh Việt Nam

Tiêu đề: Bài toán tiếp tuyến: Một số khó khăn của học sinh khi giải [In trang]

Tác giả: penguin    Thời gian: 29-8-2011 15:10
Tiêu đề: Bài toán tiếp tuyến: Một số khó khăn của học sinh khi giải
Tải bài viết: Bài toán tiếp tuyến - Một số khó khăn của học sinh khi giải: Download
+ Trong chương trình giải tích 11, kiến thức về tiếp tuyến với đường cong các em đã học dưới dạng áp dụng  ý nghĩa hình học của đạo hàm cấp 1: Phương trình tiếp tuyến với đường cong y = f(x) tại điểm M(x0; y0) là :
y = f’(x0)(x  – x0) + y0

Dạng toán vận dụng công thức này thì đơn giản hơn, ít có dạng đòi hỏi tư duy cao hơn
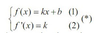
+ Trong chương trình giải tích 12, kiến thức về tiếp tuyến với đường cong các em gặp lại nhưng dưới dạng định nghĩa tổng quát hơn: Đường thẳng y = kx + b là tiếp tuyến của đường cong y = f(x) khi và chỉ khi hệ phương trình:

có nghiệm x = x0 (x0 là hoành độ tiếp điểm của tiếp tiếp tuyến có hệ số góc k)
Vì khái niệm tiếp tuyến bắt nguồn từ định nghĩa này, cho nên quan niệm “Phương trình (1) có nghiệm kép suy ra đường thẳng y = kx + b là tiếp tuyến của đường cong y = f(x)” cũng đồng nghĩa với quan niệm “ Phương trình (1) có nghiệm kép suy ra hệ phương trình (*) có nghiệm”- Điều này có lẻ chưa chứng minh được, do đó quan niệm thứ nhất không được dùng nữa!
Dạng toán vận dụng công thức này thì phong phú hơn, nhiều dạng đòi hỏi tư duy cao hơn
Như vậy vấn đề tiếp tuyến các em gặp lại hai lần trong hai năm học, nhưng thực tế các em vẫn còn một số khó khăn và một số sai sót khi giải bài toán liên quan đến tiếp tuyến
+ Dạng toán liên quan đến tiếp tuyến thường gặp trong các kỳ thi TNTHPT và tuyển sinh ĐH - CĐ
Mời các bạn và các em xem chi tiết bài viết ở File đính kèm
Nguyễn Nghi  THPT Phan Bội Châu  Khánh Hòa

Vietmaths.com








Chào mừng ghé thăm Trường Mở - Cộng Đồng Học Sinh Việt Nam (https://truongmo.com/) Powered by Discuz! X3.2